动脉粥样硬化是2型糖尿病(T2DM)大血管并发症的病理基础是动脉粥样硬化,探索相关机制和调控因子对预测和防治该类型疾病有重要意义。基于此,我校李雪萍教授团队依据WHO糖尿病诊断分类标准,连续三年搜集整理数百例人群基本信息及生化指标,并测定成纤维细胞生长因子23(FGF23)和α-klotho两种与钙/磷代谢相关的重要指标。基于多元logistic回归模型对血清FGF23、α-klotho水平和FGF23/α-klotho与T2DM及其合并动脉粥样硬化之间的关联进行定量评估,并结合样条分析探讨上述关联的剂量-反应关系。最终取得以下重要认识:
T2DM与血清FGF23浓度、FGF23/α-klotho比值呈线性正相关,与血清α-klotho浓度呈线性负相关,FGF23和FGF23/α-klotho比值与T2DM患者合并CIMT和动脉粥样硬化均呈正相关,α-klotho与CIMT和动脉粥样硬化呈负相关,但相关性不完全显著,此外,FGF23联合α-klotho不仅提高了T2DM的预测概率,并有助于增强T2DM合并动脉粥样硬化的诊断概率。
此项研究主要聚焦于FGF23和α-klotho,阐明了其在T2DM及其合并动脉粥样硬化中的可能存在的作用机制,并验证FGF23/α-klotho比值这种新的标志物的重要诊断和预测作用,该研究发现可能对未来心血管疾病的管理和治疗具有重要的临床意义。
以上成果发表在医学领域国际高水平期刊《Cardiovascular Diabetology》,我校慢病防治研究与转化中心李雪萍教授为通讯作者,基础与转化医学研究所青年科研人员毕皎和西安医学院第一附属医院医生郑美(我校全科医学专业毕业研究生)为共同第一作者。

该图为血清FGF23、α-klotho水平和FGF23/α-klotho与T2DM及其合并动脉粥样硬化之间关联的剂量-反应关系图例,结果表明血清FGF23 和FGF23/α-klotho与T2DM及其合并动脉粥样硬化之间均呈正向剂量-反应关系,血清α-klotho水平与T2DM之间呈负向剂量-反应关系。

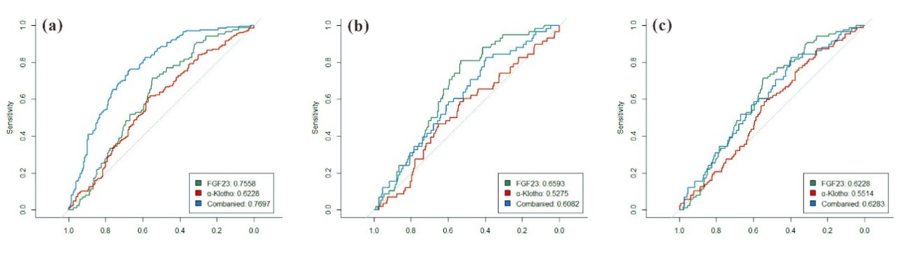
该图为血清FGF23、α-klotho水平和FGF23/α-klotho对T2DM及其合并动脉粥样硬化的预测效应,发现FGF23与α-klotho联合检测可提高对T2DM及其合并动脉粥样硬化的预测概率,为疾病的诊断和预测都提供了新依据。

文章链接:Bi J, Zheng M, Li K, Sun S, Zhang Z, Yan N, Li X. Relationships of serum FGF23 and α-klotho with atherosclerosis in patients with type 2 diabetes mellitus. 2024, 15, 23(128): 1-12 . https://doi.org/10.1186/s12933-024-02205-2